Inductors Demystified: Everything You Need to Know About Their Design

Inductive elements such as chokes or inductors are an essential part of many electronic systems: from simple filter circuits, through power supply systems to advanced WCZ antenna systems. The role of inductors in energy conversion, interference suppression or magnetic field storage makes them one of the most important passive elements.

However, for a coil to perform its function optimally, it is necessary to understand and take into account key design parameters. Inductance, resistance, quality factor, and inductive flux are just some of the characteristics that determine the performance and application of a coil. In this article, we will take a closer look at seven basic inductor design parameters, discovering how they affect their performance in practice.

1. Inductance (L)

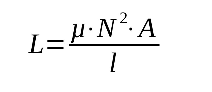
     Inductance is a basic parameter of inductive elements, expressed in Henry (H). It determines the coil’s ability to store energy in a magnetic field. The inductance value depends on, among other things:

  • number of turns (N) – inductance increases quadratically with the number of turns.
  • type of core material (material constant µ),
  • construction parameters of the core
    • cross-section of the core (S, sometimes we can find this parameter as A),
    • length of the magnetic path (l).

     In engineering practice, we often calculate the inductance of a coil using the formula:

NEOTECH Inductive elements, Coils, Chokes, Transformers. Machines, Devices, Automation, Modernization www.neotech.pl | Inductors

     Moving from definition to practice, it should be noted that this formula does not contain any reference to frequency – we will discuss this topic in point 4.

     Additionally, this method is burdened with certain challenges – the use of exotic or niche cores, specific winding layouts or winding many coils on one core (3D antennas) significantly complicate the calculation of inductance in this way – sometimes even making it impossible to estimate.

     One thing is certain – inductance depends in a strongly non-linear way on the number of turns N of the coil, which is why this parameter is crucial. Below is a graph of the dependence of the inductance of an air coil on the number of turns. A multilayer coil, wound on a non-magnetic body with a diameter of 4 mm and a length of approx. 45 mm. The measurement was carried out at a frequency of 1 MHz

NEOTECH Inductive elements, Coils, Chokes, Transformers. Machines, Devices, Automation, Modernization www.neotech.pl | Inductors
3D22 type antenna - An example of an inductor with a hollow cubic core and three mutually orthogonal windings.
NEOTECH Inductive elements, Coils, Chokes, Transformers. Machines, Devices, Automation, Modernization www.neotech.pl | Inductors
Dependence of inductance on the number of turns - on the example of a selected multilayer coil with an air core.

    The selection of the appropriate inductance value is done at the design stage of the inductive element or electronic system in which the element is to be used. This is a key parameter, because it affects the resonant frequency (and, for example, the ability to suppress interference in the circuit). In addition, alternatively, changing the operating frequency of the system will affect the inductance values ​​of the coils in the system.

2. Saturation current Imax

     Saturation current applies to inductive elements with a core (usually ferrite) and determines the maximum current that can flow through the element before the core material reaches a state of magnetic saturation. In the saturation state, the core loses its magnetic properties, which leads to a reduction in effective inductance.

     When designing an inductive element, it is necessary to select a core material with an appropriately high value of saturation induction (Bs) and ensure that the operating current does not exceed the value of the saturation current.

     It is also worth mentioning another Maximum Current in inductive elements, resulting from the thermal (or mechanical) strength of the winding wire – this is the current flowing through the coil above which the inductive element overheats (and as a result, the insulation melts or the winding wires burn out). This current is directly related to the resistance of the RDC coil and indirectly to the ability of the element (or system) to dissipate heat.

3. Resistance at direct current (RDC)

     The DC resistance RDC is the electrical resistance of the coil winding. This parameter results from the design of the winding and its value is very important because it affects the power loss in the form of heat and the overall efficiency of the system (it can be said that it is a parasitic element).

     The winding resistance is inversely proportional to the wire cross-section. To minimize it, you can use wires with a larger cross-section or made of a material with lower resistivity (typically copper is used, alternatively you can use silver-plated or silver wires).

     Unfortunately, both methods increase the material costs – both thicker wires and more noble materials are simply more expensive. This means that the design of the product must be optimized for the required application, already at the design stage. At this stage, we will also more often encounter the concept of linear resistance, i.e. the electrical resistance of a winding wire one meter long. Below is a graph of the relationship between linear resistance and wire diameter.

NEOTECH Inductive elements, Coils, Chokes, Transformers. Machines, Devices, Automation, Modernization www.neotech.pl | Inductors
Dependence of the resistance of 1 m of cable on the cable diameter.

4. Reactance Losses and Skin Effect in the Inductors

     Losses in inductive elements are not limited to DC resistance. When AC current flows through the coil, a voltage is deposited on the coil, depending on the reactance XL and the current flowing through the coil (this is the effect of energy accumulation in the coil in the form of a magnetic field).

     Reactance is calculated using this formula:

NEOTECH Inductive elements, Coils, Chokes, Transformers. Machines, Devices, Automation, Modernization www.neotech.pl | Inductors

     As can be seen from the above formula, the reactance value depends on the frequency f (this is the operating frequency of the electronic system) and the inductance value L. While by definition the inductance value is constant, in reality, when measuring inductance as a function of frequency, the measurements do not concern “inductance itself” – one forgets to take into account reactance, i.e. a variable parasitic parameter.

     At higher frequencies, additional losses due to the skin effect appear. The skin effect causes the current to flow mainly on the surface of the conductor, reducing the effective cross-section of the current and increasing resistance.

     Typically, to reduce losses associated with reactance and skin effect, Litz type wires are used, which consist of many insulated, thin wires. Alternatively, one can try to avoid too high operating frequencies, but depending on the application, this may simply be impossible.

5. Magnetic Losses in the Coil Core

   This parameter of course applies to coils, chokes, antennas and transformers with conductive cores, mainly made of magnetically soft or semi-hard materials. Losses in the coil core result from two main mechanisms:

  • hysteresis losses – related to the material overmagnetization,
  • eddy current losses – resulting from the induction of currents in the core.

     Usually, the core material should be selected so that the losses are minimal (or rather – acceptable) within the expected operating frequency range. There are also some specific applications requiring magnetically hard materials and maximum hysteresis values. Renowned core manufacturers, such as Neosid Pemetzrieder, offer a wide range of ferrite materials adapted to the specific solutions we are interested in.

6. Physical Dimensions and Mechanical Design of the Inductors

     In addition to electrical parameters, the following issues should be taken into account when designing inductive components:

  • Size and weight of the inductive component – ​​this is especially important in portable devices, but there are space limitations in virtually every system.
  • Shape and type of leads – most often adapted to standards or a specific system. Affects the method of assembly.
  • Resistance to temperature and vibration – a parameter important for ensuring reliability. It is affected by the type of wire insulation, the brittleness of the core or winding body, and the protection or housing of the inductive component.
  • Insulation and tightness – especially in high-voltage applications or those intended for operation in difficult environmental conditions (e.g. moisture or chemical vapors).

7. Tolerance and Stability

     Inductive components are manufactured with a specified inductance tolerance, usually within the range of ±5%, ±10% or ±20% depending on the materials used, quality and manufacturing method. The stability of inductance with temperature and aging of materials also plays an important role in the design of reliable devices.

Summary

     Designing inductive components is a process that requires precision and knowledge to ensure reliable operation and high efficiency of electronic devices. Every detail – from material selection, through electrical parameters, to mechanical aspects – is crucial to the quality of the final product.

     If you are looking for a partner who will help you design or deliver inductive components that are perfectly tailored to your needs, contact us! We offer comprehensive support in the field of technical consulting and production of the highest quality components. Together we will implement even the most demanding projects – quickly, efficiently and professionally.

Don’t wait – ask for an offer today and see how we can help you develop your products! 🚀

Stay up to date - follow us on social media!

 

Comments are closed.