Cewki indukcyjne bez tajemnic: Wszystko, co musisz wiedzieć o ich projektowaniu

Elementy indukcyjne, takie jak dławiki czy cewki indukcyjne to nieodłączny element wielu układów elektronicznych: od prostych obwodów filtrujących, przez systemy zasilania po zaawansowane układy antenowe WCZ.

Rola cewki w przetwarzaniu energii, tłumieniu zakłóceń czy magazynowaniu pola magnetycznego czyni ją jednym z najważniejszych elementów pasywnych. Aby jednak induktory spełniały swoje funkcje w sposób optymalny, konieczne jest zrozumienie i uwzględnienie kluczowych parametrów projektowych.

Indukcyjność, rezystancja, dobroć czy strumień indukcji – to tylko niektóre z cech, które determinują wydajność i zastosowanie cewki. W tym artykule przyjrzymy się bliżej siedmiu podstawowym parametrom projektowym cewek indukcyjnych, odkrywając, jak wpływają one na ich działanie w praktyce.

1. Indukcyjność (L)

     Indukcyjność to podstawowy parametr elementów indukcyjnych, wyrażany w henrach (H). Określa zdolność cewki do magazynowania energii w polu magnetycznym. Wartość indukcyjności zależy między innymi od:

  • liczby zwojów (N) – indukcyjność rośnie w sposób kwadratowy względem ilości zwojów.
  • rodzaju materiału rdzenia (stała materiałowa µ),
  • parametrów konstrukcyjnych rdzenia
      • przekroju poprzecznego rdzenia (S, czasem możemy znaleźć ten parametr jako A),
      • długości drogi magnetycznej (l).
NEOTECH - Producent podzespołów indukcyjnych. Cewki, Dławiki, Anteny, Grzałki, Transformatory. www.neotech.pl/indukcyjne
Anteny różnych typów, 3D22, 3D9. Przykład induktorów z pustym w środku, sześciennym rdzeniem oraz trzema wzajemnie ortogonalnymi uzwojeniami.

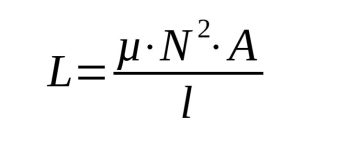
     W praktyce inżynierskiej często obliczamy indukcyjność cewki stosując wzór:

NEOTECH - Cewki indukcyjne

     Przechodząc z definicji do praktyki należy zwrócić uwagę, że ten wzór nie zawiera żadnego odniesienia do częstotliwości – temat ten poruszymy w 4. punkcie.

     Dodatkowo, taka metoda obarczona jest pewnymi wyzwaniami – stosowanie egzotycznych lub niszowych rdzeni, specyficzne rozkłady uzwojeń lub nawijanie wielu cewek na jednym rdzeniu (anteny 3D) znacząco utrudniają obliczanie indukcyjności w ten sposób – czasem nawet uniemożliwiając szacunkową ocenę.

     Jedno jest pewne – indukcyjność zależy w silnie nieliniowy sposób od ilości zwojów N cewki, przez co ten parametr jest kluczowy. Poniżej przedstawiam wykres zależności indukcyjności cewki powietrznej od ilości zwojów. Cewka wielowarstwowa, nawijana na korpusie niemagnetycznym o średnicy 4mm i długości ok. 45mm. Pomiar odbywał się przy częstotliwości 1 MHz

NEOTECH - Producent podzespołów indukcyjnych. Cewki, Dławiki, Anteny, Grzałki, Transformatory. www.neotech.pl/indukcyjne
Zależność indukcyjności od ilości zwojów - na przykładzie wybranej cewki wielowarstwowej, na rdzeniu powietrznym.

     Dobór odpowiedniej wartości indukcyjności odbywa się na etapie projektowania elementu indukcyjnego lub układu elektronicznego w którym element ten ma być stosowany. Jest to kluczowy parametr, ponieważ wpływa na częstotliwość rezonansową (i, przykładowo, na zdolność tłumienia zakłóceń w obwodzie). Ponadto zamiennie, zmiana częstotliwości roboczej układu wpłynie na wartości indukcyjności cewek w układzie.

2. Prąd nasycenia Imax

     Prąd nasycenia dotyczy elementów indukcyjnych z rdzeniem (najczęściej ferrytowym) i określa maksymalny prąd, który może przepływać przez element, zanim materiał rdzenia osiągnie stan nasycenia magnetycznego. W stanie nasycenia rdzeń traci swoje właściwości magnetyczne, co prowadzi do zmniejszenia efektywnej indukcyjności.

     Projektując element indukcyjny, należy wybrać materiał rdzenia o odpowiednio wysokiej wartości indukcji nasycenia (Bs) oraz upewnić się, że prąd roboczy nie przekracza wartości prądu nasycenia.

     Warto również wspomnieć o innym Prądzie Maksymalnym w elementach indukcyjnych, wynikającym z wytrzymałości termicznej (lub mechanicznej) drutu nawojowego – jest to prąd przepływający przez cewkę powyżej którego następuje przegrzanie elementu indukcyjnego (a w efekcie stopienie izolacji lub przepalenie drutów nawojowych). Prąd ten jest bezpośrednio związany z rezystancją cewki RDC oraz pośrednio ze zdolnością elementu (lub układu) do odprowadzania ciepła.

3. Rezystancja stałoprądowa (RDC)

     Rezystancja stałoprądowa RDC to rezystancja elektryczna uzwojenia cewki. Parametr ten wynika z konstrukcji uzwojenia a jego wartość jest bardzo istotna, ponieważ wpływa na straty mocy w postaci ciepła i na ogólną sprawność układu (można powiedzieć, że jest to element pasożytniczy).

     Rezystancja uzwojenia jest odwrotnie proporcjonalna do przekroju przewodu. By ją zminimalizować można stosować przewody o większym przekroju lub z materiału o niższej rezystywności (typowo stosuje się miedź, alternatywnie można użyć drutów srebrzonych lub srebrnych).

     Niestety, obie metody zwiększają koszty materiałowe – zarówno grubsze druty jak i szlachetniejsze materiały są zwyczajnie droższe. Oznacza to konieczność zoptymalizowania konstrukcji wyrobu względem wymaganego zastosowania, jeszcze na etapie projektowania. Na tym etapie częściej spotkamy się również z pojęciem rezystancji liniowej, czyli oporu elektrycznego przewodu nawojowego o długości jednego metra. Poniżej przedstawiam wykres zależności rezystancji liniowej od średnicy przewodu.

NEOTECH - Cewki indukcyjne
Zależność rezystancji 1m przewodu od średnicy przewodu.

4. Straty Reaktancyjne i Efekt Naskórkowy

     Straty w elementach indukcyjnych nie ograniczają się tylko do rezystancji stałoprądowej. Podczas przepływu prądu przemiennego przez cewkę, na cewce odkładane jest napięcie zależne od reaktancji XL oraz od prądu płynącego przez cewkę (jest to efekt gromadzenia się energii w cewece w postaci pola magnetycznego).

     Reaktancję oblicza się z niniejszego wzoru:

NEOTECH - Cewki indukcyjne

     Jak wynika z powyższego wzoru, wartość reaktancji zależy od częstotliwości f (jest to częstotliwość robocza układu elektronicznego) oraz wartości indukcyjności L. O ile z definicji wartość indukcyjności jest stała, to w rzeczywistości, mierząc indukcyjność w funkcji częstotliwości pomiary nie dotyczą „samej indukcyjności” – zapomina się o uwzględnieniu reaktancji, czyli zmiennego parametru pasożytniczego.

     Przy wyższych częstotliwościach pojawiają się dodatkowe straty wynikające z efektu naskórkowego. Efekt naskórkowy powoduje, że prąd płynie głównie po powierzchni przewodnika, zmniejszając efektywny przekrój prądu i zwiększając rezystancję.

     Typowo, aby ograniczyć straty związane z reaktancją i naskórkowością stosuje się przewody typu Lica (litz wire), które składają się z wielu izolowanych, cienkich drutów. Alternatywnie można spróbować unikać zbyt wysokich częstotliwości pracy, ale zależnie od zastosowania może to być po prostu niemożliwe.

5. Straty Magnetyczne w Rdzeniu Cewki

     Parametr ten dotyczy oczywiście cewek, dławików, anten i transformatorów z rdzeniami przewodzącymi, głównie wykonanymi z materiałów magnetycznie miękkich lub półtwardych. Straty w rdzeniu cewki wynikają z dwóch głównych mechanizmów:

  • strat histerezowych – związanych z przemagnesowywaniem materiału,
  • strat prądów wirowych – wynikających z indukowania prądów w rdzeniu.

     Zwykle materiał rdzenia powinien być dobrany tak, aby straty były minimalne (a raczej – akceptowalne) w zakresie przewidywanej częstotliwości pracy. Istnieją także pewne specyficzne zastosowania wymagające materiałów magnetycznie twardych i maksymalnie dużych wartości histerezy. Renomowani producenci rdzeni, tacy jak Neosid Pemetzrieder, oferują szeroki wachlarz materiałów ferrytowych dostosowanych do konkretnych interesujących nas rozwiązań.

6. Wymiary Fizyczne i Konstrukcja Mechaniczna Cewki

     Oprócz parametrów elektrycznych, projektując elementy indukcyjne należy wziąć pod uwagę poniższe kwestie:

  • Rozmiar i masa elementu indukcyjnego – ma to znaczenie zwłaszcza w urządzeniach przenośnych, ale w praktycznie każdym układzie istnieją ograniczenia przestrzenne.
  • Kształt i rodzaj wyprowadzeń – najczęściej dopasowany do standardów lub konkretnego układu. Wpływa na sposób montażu.
  • Odporność na temperaturę i drgania – parametr istotny dla zapewnienia niezawodności. Wpływa na niego rodzaj izolacji przewodu, kruchość rdzenia lub korpusu nawojowego oraz zabezpieczenie lub obudowa elementu indukcyjnego.
  • Izolację i szczelność – szczególnie w aplikacjach wysokiego napięcia lub przeznaczonych do pracy w trudnych warunkach środowiskowch (na przykład wilgoć czy opary chemiczne).

7. Tolerancja i Stabilność

     Elementy indukcyjne produkowane są z określoną tolerancją indukcyjności, zwykle w granicach ±5%, ±10% lub ±20% zależnie od stosowanych materiałów, jakości i metody wykonania. Stabilność indukcyjności w zależności od temperatury i starzenia materiałów również odgrywa istotną rolę w projektowaniu niezawodnych urządzeń.

Podsumowanie

     Projektowanie elementów indukcyjnych to proces wymagający precyzji i wiedzy, aby zapewnić niezawodne działanie i wysoką efektywność urządzeń elektronicznych. Każdy szczegół – od doboru materiałów, przez parametry elektryczne, po aspekty mechaniczne – ma kluczowe znaczenie dla jakości finalnego produktu.

     Jeśli szukasz partnera, który pomoże Ci zaprojektować lub dostarczyć elementy indukcyjne idealnie dopasowane do Twoich potrzeb, skontaktuj się z nami! Oferujemy kompleksowe wsparcie w zakresie doradztwa technicznego oraz produkcji elementów o najwyższej jakości. Razem zrealizujemy nawet najbardziej wymagające projekty – szybko, sprawnie i profesjonalnie.

     Nie czekaj – już dziś zapytaj o ofertę i przekonaj się, jak możemy pomóc w rozwoju Twoich produktów! 🚀

Bądź na bieżąco - Obserwuj nas w mediach społecznościowych!